Featured
- Get link
- X
- Other Apps
Calculus Limits And Continuity Problems
Calculus Limits And Continuity Problems. So, we can see that, lim x → − 6 − g ( x) ≠ lim x → − 6 + g ( x) lim x → − 6 − g ( x) ≠ lim x → − 6 + g ( x) and so lim x → − 6 g ( x) lim x → − 6 g ( x) does not exist. In general, if a function f (x) approaches l when x approaches 'a', we say that l is the limiting value of f (x) symbolically it is written as ( ) xa limfxl → =

And g(x) = p x+ 1: We say lim ( ) xa f x l if we can make f (x) as close to l as we want by taking x sufficiently close to a (on either side of a) without letting x=a. Express the salt concentration c(t) after t minutes (in g/l).
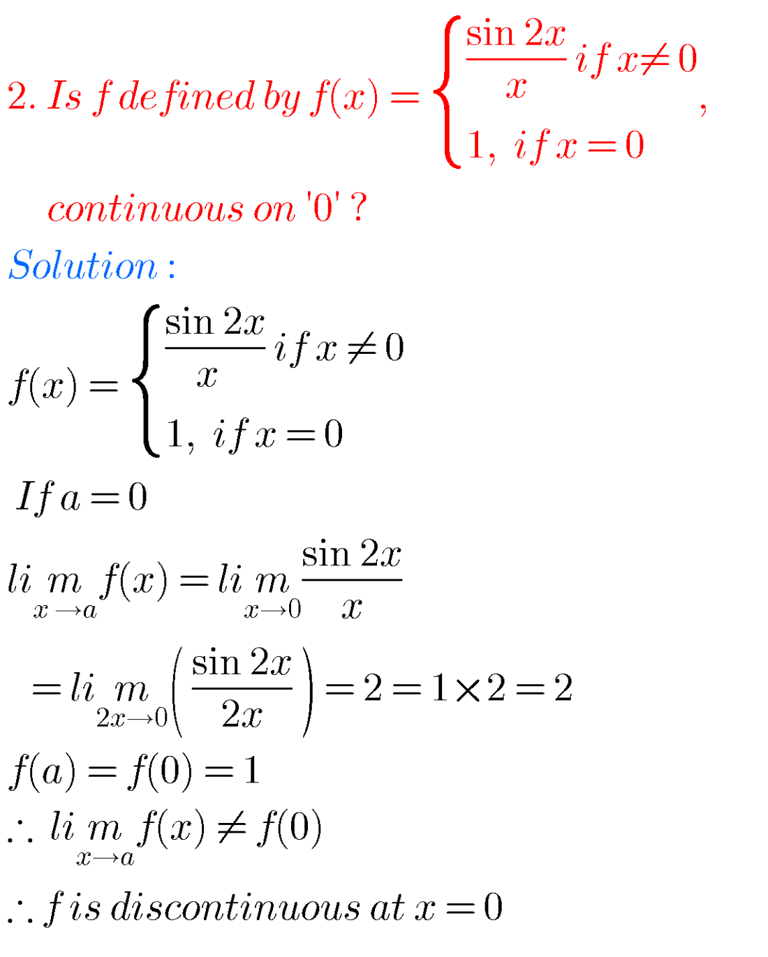
Now, As Discussed In The Notes For This Section, In Order For A Function To Be Continuous At A Point Both The Function And The Limit Must Exist.
With f(u) = u (u+ 1)2. Determine the points of discontinuity. All other points on this graph will have both the function and limit exist and we’ll have lim x → a f ( x) = f ( a) lim x → a f ( x) = f ( a) and so will be continuous.
Ap Calculus Ab Unit 1 — Limits And Continuity Practice Test Question 1 Which Of The Following Intervals Would Be The Best To Use To Find The Instantaneous Rate Of Change Of F (X)=X2+3X−2X At X=3?
Choose the one alternative that best completes the statement or answers the question. There is only doubt of the continuity at. Find a) lim x ⇒ − 8 f ( x), b) lim x ⇒ 0 f ( x), and c) lim x ⇒ 8 f ( x).
1)Assume That A Watermelon Dropped From A Tall Building Falls Y = 16T2 Ft In T Sec.
First, a function f with variable x is continuous at the point “a” on the real line, if the limit of f(x), when x approaches the point “a”, is equal to the value of f(x) at “a”, i.e., f(a). In summary then the points of discontinuity for this graph are : Suppose you needed to nd the derivative of y= h(x) = p x+ 1 ( p x+ 1 + 1)2.
Limits And Continuity Limits By Rewriting Limits By Rewriting X − 3X + 2 2 X3 + X2 + X + 1 Problem 1 Lim Problem 2 Lim X →2 X −2 X →∞ X3 + 3X 2 + 5X + 2.
So, we can see that, lim x → − 6 − g ( x) ≠ lim x → − 6 + g ( x) lim x → − 6 − g ( x) ≠ lim x → − 6 + g ( x) and so lim x → − 6 g ( x) lim x → − 6 g ( x) does not exist. Salt water containing 20 grams of salt per liter is pumped into the tank at 2 liters per minute. Let f ( x) = ( x + 8) 2 x 2 − 64.
We Can Write This Function As A Composition Of Two Simpler Functions, Namely, Y= F(U);
Limits and continuity questions and answers. Solve the indeterminate form dividing by. Recent questions in limits and continuity.
Comments
Post a Comment